• 网站首页
  • 集团概况
    • 集团简介
    • 发展历程
    • 组织架构
    • 联系方式
  • 企业文化
    • 企业理念
    • 企业荣誉
  • 新闻中心
    • 企业动态
    • 媒体聚焦
    • 宣传视频
  • 主营业务
    • 文化旅游
    • 民生服务
    • 地产开发
    • 基础设施
    • 交通物流
    • 金融发展
    • 设计咨询
  • 党建之窗
    • 党建要闻
    • 清廉城发
  • 公开信息
    • 人才招聘
    • 公示公告
  • 招采平台
集团概况
集团简介
发展历程
组织架构
联系方式
企业文化
企业理念
企业荣誉
新闻中心
企业动态
媒体聚焦
宣传视频
主营业务
文化旅游
民生服务
地产开发
基础设施
交通物流
金融发展
设计咨询
党建之窗
党建要闻
清廉城发
公开信息
人才招聘
公示公告
招采平台
  首页        公开信息        公示公告
  • 人才招聘
  • 公示公告
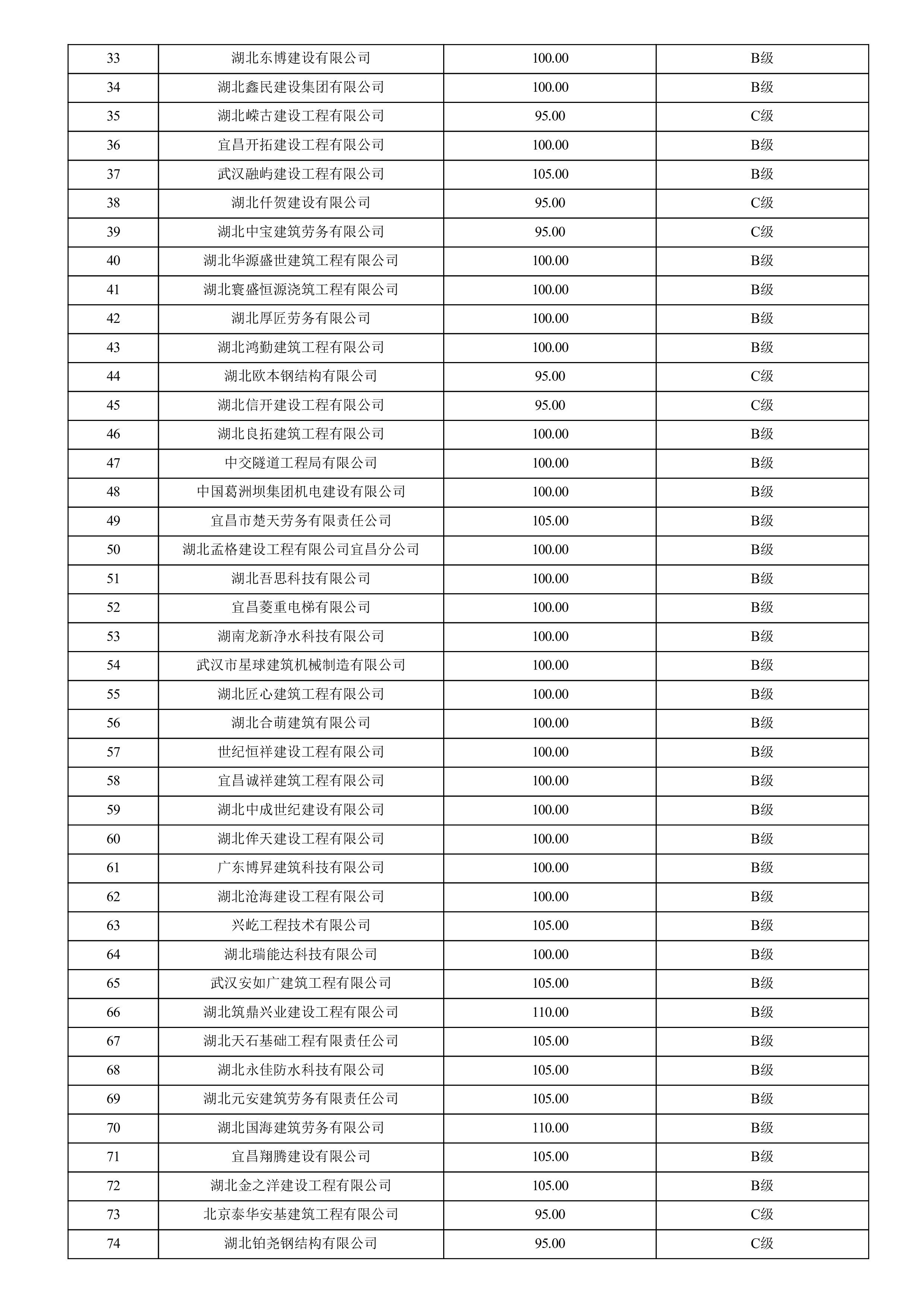
  • 宜昌城发集团建设项目合作单位优良、不良行为公示 (2025年第十八期)


    浏览量:   1801     发布时间:  2025-02-17


    上一篇  >   宜昌城发集团建设项目合作单位优良、不良行为公示 (2025年第十七期)
    下一篇  >   宜昌城发集团建设项目合作单位优良、不良行为公示 (2025年第十九期)

    集团概况 集团简介
    发展历程
    组织架构
    联系方式
    企业文化 企业理念
    企业荣誉
    新闻中心 企业动态
    媒体聚焦
    宣传视频
    主营业务 文化旅游
    民生服务
    地产开发
    基础设施
    交通物流
    金融发展
    设计咨询
    党建之窗 党建要闻
    清廉城发
    公开信息 人才招聘
    公示公告
    招采平台
    CONTACT US扫码关注
  • 联系地址: 湖北省宜昌市伍家岗区沿江大道189号
  • Copyright © 2022 宜昌城市发展投资集团有限公司 All RIGHTS RESERVED. 版权所有 鄂ICP备15004291号-4 鄂公网安备42050302000425 技术支持:国昇科技